Holler Hollow-Limb-Design 16#@24'' Kinderflitsche rösten?
Holler Hollow-Limb-Design 16#@24'' Kinderflitsche rösten?
Servus Leute!
Hab für Tochter Nr.1 ein Bögelchen gebaut. Hatte vom Fischzug mit dem Fatz noch einen Holler mit 2,5cm kleinem Durchmesser (unten warens fast 4). Weil mich das HLD so fasziniert und der dünne Holler ja eine "high crown" (wie heisst das auf Deutsch?) hat hab ich mir gedacht ich mach das mal. Jetzt ist er aber leider mit 16# grenzwertig schwach fürs Töchterlein und noch nicht gefinisht. Wenn ich da noch mal mit Schmirgelpapier drüber gehe und noch öle oder lackiere bin ich warscheinlich bei 12#. Weil das Ding echt seinen Charme hat (werde mal die Auszugskurve später noch posten) überleg ich ob ich ihn nicht vielleicht mild rösten soll um noch ein paar # fürs Finish rauszuholen? Daher meine Fragen an euch:
1. Bringts was Holler zu tempern? Beim Hasel ists ja der Hit, während bei Hartriegel zB. nicht so viel dabei rauskommen soll, wie ist das beim Holler?
2. Soll/Kann man sehr dünne hohle Wurfarme rösten?
Kürzen wär evtl. noch eine Option, aber leider hat der obere WA eine kleine Schwachstelle weit oben und da kommt auch nach dem Tip recht bald der arbeitende Bereich, daher würd ich das lieber vermeiden wollen.
Fotos kommen noch falls Interesse besteht.
Viele Grüße
Grünhorn
Hab für Tochter Nr.1 ein Bögelchen gebaut. Hatte vom Fischzug mit dem Fatz noch einen Holler mit 2,5cm kleinem Durchmesser (unten warens fast 4). Weil mich das HLD so fasziniert und der dünne Holler ja eine "high crown" (wie heisst das auf Deutsch?) hat hab ich mir gedacht ich mach das mal. Jetzt ist er aber leider mit 16# grenzwertig schwach fürs Töchterlein und noch nicht gefinisht. Wenn ich da noch mal mit Schmirgelpapier drüber gehe und noch öle oder lackiere bin ich warscheinlich bei 12#. Weil das Ding echt seinen Charme hat (werde mal die Auszugskurve später noch posten) überleg ich ob ich ihn nicht vielleicht mild rösten soll um noch ein paar # fürs Finish rauszuholen? Daher meine Fragen an euch:
1. Bringts was Holler zu tempern? Beim Hasel ists ja der Hit, während bei Hartriegel zB. nicht so viel dabei rauskommen soll, wie ist das beim Holler?
2. Soll/Kann man sehr dünne hohle Wurfarme rösten?
Kürzen wär evtl. noch eine Option, aber leider hat der obere WA eine kleine Schwachstelle weit oben und da kommt auch nach dem Tip recht bald der arbeitende Bereich, daher würd ich das lieber vermeiden wollen.
Fotos kommen noch falls Interesse besteht.
Viele Grüße
Grünhorn
"Der Mensch kann zwar tun, was er will, aber er kann nicht wollen, was er will." A. S.
Re: Holler Hollow-Limb-Design 16#@24'' Kinderflitsche rösten
Wenn noch ein paar cm eruebrigen kannst, wuerd ich eher ein bissl kuerzen
Wenn die Klügeren nachgeben, bestimmen die Idioten
Re: Holler Hollow-Limb-Design 16#@24'' Kinderflitsche rösten
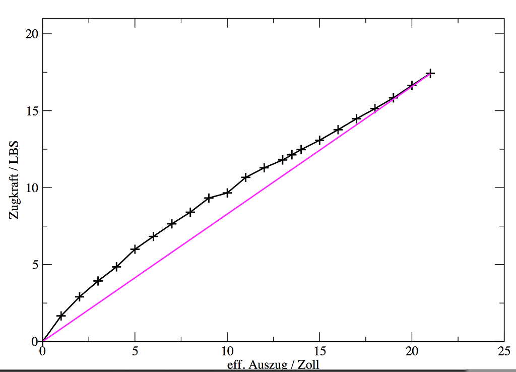
Hier die Auszugskurve.
"Der Mensch kann zwar tun, was er will, aber er kann nicht wollen, was er will." A. S.
Re: Holler Hollow-Limb-Design 16#@24'' Kinderflitsche rösten
Wie lang isser denn jetzt und was braucht die Kleine fuer einen Maximalauszug?
Wenn die Klügeren nachgeben, bestimmen die Idioten
Re: Holler Hollow-Limb-Design 16#@24'' Kinderflitsche rösten
Sie braucht so um die 24'' echten Auszug glaub ich. Auf der Kurve ist ja nur ab Standhöhe (nenne ich mal "effektiven Auszug"). Der Bogen is so um die 1,55m (61''). Von den Werten her ist schon Luft drin, aber die HLD WA, und vor allem die von dem Kinderbogen kannst halt net beliebig kürzen.
Was spricht aus deiner Sicht gegen das Rösten?
Was spricht aus deiner Sicht gegen das Rösten?
Zuletzt geändert von Grünhorn am 22.05.2017, 12:05, insgesamt 1-mal geändert.
"Der Mensch kann zwar tun, was er will, aber er kann nicht wollen, was er will." A. S.
- Bowster
- Forenlegende

- Beiträge: 3699
- Registriert: 17.02.2012, 16:50
- Hat gedankt: 20 Mal
- Hat Dank erhalten: 4 Mal
Re: Holler Hollow-Limb-Design 16#@24'' Kinderflitsche rösten
Meinst Du die Franzi mit den 24" Auszug? das wäre ja nicht eben wenig.
Re: Holler Hollow-Limb-Design 16#@24'' Kinderflitsche rösten
Ja sie zieht halt wie sie's beim Papa sieht bis zum Ohrwaschl ... :-)
EDIT: Aber evtl muss ich nochmal nachmessen, hab das gestern in der Eile mit einem Pfeil gemacht wo ich dachte er sei 25'' (vllt. hab ich mich da getäuscht ..
).
EDIT: Aber evtl muss ich nochmal nachmessen, hab das gestern in der Eile mit einem Pfeil gemacht wo ich dachte er sei 25'' (vllt. hab ich mich da getäuscht ..
Zuletzt geändert von Grünhorn am 22.05.2017, 12:08, insgesamt 2-mal geändert.
"Der Mensch kann zwar tun, was er will, aber er kann nicht wollen, was er will." A. S.
Re: Holler Hollow-Limb-Design 16#@24'' Kinderflitsche rösten
...dass ich das bei Holler noch nie probiert hab und wenn's nicht wer anders schon erfolgreich gemacht hat, du evtl. den Bogen verwurgst.Grünhorn hat geschrieben:Was spricht aus deiner Sicht gegen das Rösten?
Wenn die Klügeren nachgeben, bestimmen die Idioten
Re: Holler Hollow-Limb-Design 16#@24'' Kinderflitsche rösten
Ja, zeig mal ein paar Bilder, interessiert mich auch.Grünhorn hat geschrieben: Fotos kommen noch falls Interesse besteht.
- ralfmcghee
- Hero Member

- Beiträge: 2019
- Registriert: 02.01.2014, 16:00
Re: Holler Hollow-Limb-Design 16#@24'' Kinderflitsche rösten
Hallo Grünhorn,
ich muss einmal eine doofe Frage zu Deinem Auszugsdiagramm stellen: Ist die Gerade in Deinem Diagramm eine Regressionsgerade? Wenn ja, müsste sie doch mehr mit den gemessenen Werten korrelieren, oder sehe ich das falsch? Mir fällt nämlich auf, dass die gemessenen Werte etwas abseits von der Geraden liegen.
Wie misst Du denn das Zuggewicht? Ich habe mir angewöhnt, bei jedem Zoll drei oder fünf Messungen vorzunehmen. Dafür verwende ich einen Messpfeil und eine digitale Kofferwaage. Weiter gehe ich davon aus, dass ich auf Standhöhe ein Zuggewicht von 0# habe. Bei meinen zoll-bezogenen Messungen berechne ich dann das arithmetische Mittel. Wenn ich dann eine Regressionsgerade durch die ermittelten Werte lege, bekomme ich meistens ein Bestimmtheitsmaß von etwa .99. Aktuell wende ich das bei einem Eibenversuch an, den ich auf Standhöhe habe und bis 14" ziehe. Bei dem Auszug zieht er derzeit 18,12". Mit Hilfe meiner Regressionsgeraden prognostiziere und erhoffe ich 57#@28" bzw. 65,5#@31", falls ich mich traue, so weit zu tillern.
Wenn Du eine Illustration haben möchtest, wie ich das meine, lass es mich wissen. Dann liefere ich eine nach, wenn mein Irfan View wieder so arbeitet wie ich es will.
LG
Ralf
ich muss einmal eine doofe Frage zu Deinem Auszugsdiagramm stellen: Ist die Gerade in Deinem Diagramm eine Regressionsgerade? Wenn ja, müsste sie doch mehr mit den gemessenen Werten korrelieren, oder sehe ich das falsch? Mir fällt nämlich auf, dass die gemessenen Werte etwas abseits von der Geraden liegen.
Wie misst Du denn das Zuggewicht? Ich habe mir angewöhnt, bei jedem Zoll drei oder fünf Messungen vorzunehmen. Dafür verwende ich einen Messpfeil und eine digitale Kofferwaage. Weiter gehe ich davon aus, dass ich auf Standhöhe ein Zuggewicht von 0# habe. Bei meinen zoll-bezogenen Messungen berechne ich dann das arithmetische Mittel. Wenn ich dann eine Regressionsgerade durch die ermittelten Werte lege, bekomme ich meistens ein Bestimmtheitsmaß von etwa .99. Aktuell wende ich das bei einem Eibenversuch an, den ich auf Standhöhe habe und bis 14" ziehe. Bei dem Auszug zieht er derzeit 18,12". Mit Hilfe meiner Regressionsgeraden prognostiziere und erhoffe ich 57#@28" bzw. 65,5#@31", falls ich mich traue, so weit zu tillern.
Wenn Du eine Illustration haben möchtest, wie ich das meine, lass es mich wissen. Dann liefere ich eine nach, wenn mein Irfan View wieder so arbeitet wie ich es will.
LG
Ralf
Der Krug geht zum Brunnen bis er bricht.
Der Student geht zur Mensa bis er bricht.
Mein Bogen geht auf den Tillerstock bis er bricht.
Der Student geht zur Mensa bis er bricht.
Mein Bogen geht auf den Tillerstock bis er bricht.
Re: Holler Hollow-Limb-Design 16#@24'' Kinderflitsche rösten
Hi Leute,
@Grünschnabel: hier mal ein Bildchen. (Auszug zeig ich mal noch nicht ...). @Ralf: Es ist keine Regression (für sowas nehm ich entweder xmgr oder gnuplot). Die Gerade ist zur Veranschaulichung was ich gegenüber einem linearen Auszug "gewinne", nämlich alles oberhalb der Geraden.
Ich hab eine ziemlich grobe Federwaage und nur einmal je Zoll gemessen (einmal auch bei einem halben Zoll bei 13.5) daher das "Rauschen". Ich hab mir grad eine (hoffentlich) bessere Kofferwaage bestellt und würde für bessere Kurven auch 3-5 mal messen und mitteln (oder ähnliches). Aber der Trend kommt glaub ich ganz gut raus.
VG
Grünhorn
@Grünschnabel: hier mal ein Bildchen. (Auszug zeig ich mal noch nicht ...). @Ralf: Es ist keine Regression (für sowas nehm ich entweder xmgr oder gnuplot). Die Gerade ist zur Veranschaulichung was ich gegenüber einem linearen Auszug "gewinne", nämlich alles oberhalb der Geraden.
Ich hab eine ziemlich grobe Federwaage und nur einmal je Zoll gemessen (einmal auch bei einem halben Zoll bei 13.5) daher das "Rauschen". Ich hab mir grad eine (hoffentlich) bessere Kofferwaage bestellt und würde für bessere Kurven auch 3-5 mal messen und mitteln (oder ähnliches). Aber der Trend kommt glaub ich ganz gut raus.
VG
Grünhorn
Zuletzt geändert von Grünhorn am 22.05.2017, 18:09, insgesamt 1-mal geändert.
"Der Mensch kann zwar tun, was er will, aber er kann nicht wollen, was er will." A. S.
Re: Holler Hollow-Limb-Design 16#@24'' Kinderflitsche rösten
Du hast in deiner Auszugskurve trotzdem einen Denkfehler. Die Kurve fängt nicht bei 0'' an, sondern bei ca. 5,5" (Standhöhe).
Ansonsten sieht der Bogen doch gut aus, soweit ich das an den beiden Bildern beurteilen kann. Ich würde evtl. an jeder Seite vielleicht ein bis zwei cm kürzen, aber nicht rösten, wäre wirklich schade um den Bogen, wenn er das Rösten nicht verträgt.
LG Jürgen
Ansonsten sieht der Bogen doch gut aus, soweit ich das an den beiden Bildern beurteilen kann. Ich würde evtl. an jeder Seite vielleicht ein bis zwei cm kürzen, aber nicht rösten, wäre wirklich schade um den Bogen, wenn er das Rösten nicht verträgt.
LG Jürgen
- ralfmcghee
- Hero Member

- Beiträge: 2019
- Registriert: 02.01.2014, 16:00
Re: Holler Hollow-Limb-Design 16#@24'' Kinderflitsche rösten
Ah okay, danke.
Wenn ich es nun richtig verstanden habe, hast Du eine Linie von 0 zum höchsten gemessenen Ergebnis gezogen und das als theoretische lineare Zuggewichtskurve genommen?
(Hoffentlich denkt niemand, ich wolle hier herumklugscheißern. Mich interessieren einfach die Verfahren.
)
(Hoffentlich denkt niemand, ich wolle hier herumklugscheißern. Mich interessieren einfach die Verfahren.
Der Krug geht zum Brunnen bis er bricht.
Der Student geht zur Mensa bis er bricht.
Mein Bogen geht auf den Tillerstock bis er bricht.
Der Student geht zur Mensa bis er bricht.
Mein Bogen geht auf den Tillerstock bis er bricht.
Re: Holler Hollow-Limb-Design 16#@24'' Kinderflitsche rösten
Hi Jürgen,
danke für die Ermunterung :-) OK ich schau mal wie ich das mit kürzen hinbekomm!
@Jürgen: ich glaub ich weiss was Du meinst. Aber für mich fängt der, was ich persönlich für mich "effektiver Auszug" nenne, also wie weit ziehe ich den Nockpunkt nach hinten bei 0,0 an. 0,0 ist dann Standhöhe. Denn nur die Fläche unter dieser Kurve ist die gespeicherte (potentielle) Energie. Das andere wäre was ich persönlich für mich "echter Auszug" nenne. Und das ist dann Standhöhe + effektiver Auszug.
@Ralf: Genau! Nein kein Problem, ohne Erklärung sieht das echt bissl eigenartig aus
und danke für dein Interesse!
LG
Grünhorn
danke für die Ermunterung :-) OK ich schau mal wie ich das mit kürzen hinbekomm!
@Jürgen: ich glaub ich weiss was Du meinst. Aber für mich fängt der, was ich persönlich für mich "effektiver Auszug" nenne, also wie weit ziehe ich den Nockpunkt nach hinten bei 0,0 an. 0,0 ist dann Standhöhe. Denn nur die Fläche unter dieser Kurve ist die gespeicherte (potentielle) Energie. Das andere wäre was ich persönlich für mich "echter Auszug" nenne. Und das ist dann Standhöhe + effektiver Auszug.
@Ralf: Genau! Nein kein Problem, ohne Erklärung sieht das echt bissl eigenartig aus
LG
Grünhorn
"Der Mensch kann zwar tun, was er will, aber er kann nicht wollen, was er will." A. S.